
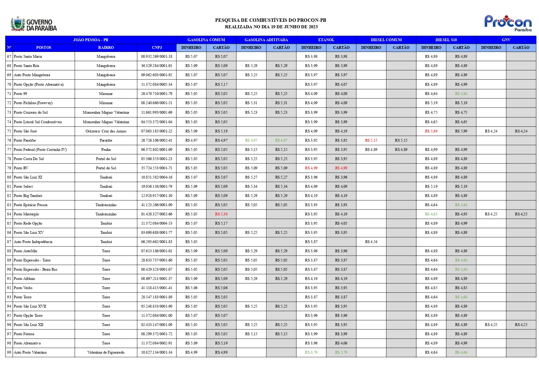
Litro da gasolina comum é vendido entre R$ 4,89 e R$ 5,19 nos postos de João Pessoa, mostra pesquisa